How does the Internet work?
At the beginning of this blog if we want to know about How does internet works, first, we need to know what is the Internet.
So what is the Internet?
Internet is a globally wide-area network that associates computer devices over the world. It includes a few high-transmission capacity data lines which are also
known as the "backbone" of the Internet. These lines are associated with most of the Internet centre points(Hub) that distribute information to different areas, for example, web servers and ISPs.A simple network
while computer systems need to communicate, you have to link them, either physically (generally with an Ethernet cable) or wirelessly (for example with WiFi or Bluetooth systems). All modern computer systems can maintain any of those connections.
Be aware: For the rest of this article, we will only talk about physical cables, however wireless networks work identically.
|
|
fig: a simple network |
this kind of network isn't confined to 2 computer systems. you can connect as many computer systems as you want. however, it gets complicated quickly. in case you're looking to connect, say, ten computer systems, you need 45 cables, with 9 plugs per computer!
|
|
fig: Mesh topology with 10 computers |
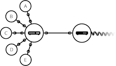
To resolve this problem, each computer on a community is attached to a special tiny computer known as a router. This router has only one task: like a signaler at a railway station, it makes certain that a message sent from a given computer arrives at the right destination computer. To send a message to pc B, pc A need to send the message to the router, which in turn forwards the message to pc B and makes sure the message is not delivered to pc C.
once we add a router to the system, our network of 10 computers only requires 10 cables: a single plug for each computer and a router with 10 plugs.
A network of networks
up to now so good. however what about connecting hundreds, thousands,
billions of computers? Of course, a single router cannot scale that a long way, but, in case you read carefully, we stated that a router is a
computer like any other, so what keeps us from connecting two routers collectively? nothing, so let's try this.
|
|
fig: two different networks connected through two routers |
with the aid of connecting computers to routers, then routers to routers,
we're capable of scale infinitely.
|
|
fig: three different networks connected through four routers |
this kind of network comes very close to what we call the internet,
however, we're missing something. We constructed that network for our very
own purposes. There are other networks accessible: your buddies, your
neighbours, everyone can have their personal network of computers. but
it's now not actually feasible to set cables up among your house and the
rest of the world, so how can you manage this? well, there are already
cables connected to your house, as an example, electric energy and
cellphone. The cellphone infrastructure already connects your house with
anyone within the world so it is the right wire we need. to connect our
network to the telephone infrastructure, we need a special piece of a
device known as a modem. This modem turns the information from our network
into information achievable by the cellphone infrastructure and vice
versa.
|
|
fig: remote network connected through a modem |
So we're connected to the cellphone infrastructure. the following step is
to send the messages from our network to the network we want to reach. To
do that, we will connect our network to an internet service provider
(ISP). An ISP is an organization that manages a few special routers which
are all connected collectively and also can access other ISPs' routers. So
the message from our network is carried via the network of ISP networks to
the destination network. The internet includes this entire infrastructure
of networks.
|
|
fig: various local network make the internet together |
finding computers
in case you need to send a message to a computer, you need to specify
which one. as a result, any computer connected to a network has a
completely unique address that identifies it, referred to as an "IP
address" (where IP stands for Internet Protocol). it's an address made
from a sequence of 4 numbers separated by using dots, for instance:
192.168.0.1.
it truly is flawlessly fine for computers, however, we human beings have
a difficult time remembering that sort of address. To make matters
easier, we can alias an IP address with a human-readable name called a
domain name. as an example (at the time of writing; IP addresses can
exchange) google.com is the domain name used on top of the IP address
173.194.121.32. So the usage of the domain name is the easiest way for
us to reach a computer over the internet.
|
|
fig: DNS makes the user-friendly environment on the internet |
internet and the web
As you would possibly observe, when we browse the internet with a web
browser, we generally use the domain name to reach a website. Does
that suggest the internet and the net are the equal components? it is
now not that simple. As we noticed, the internet is a technical infrastructure which permits billions of computers to be connected all
collectively. amongst the one's computers, a few computers (referred
to as web servers) can send messages intelligible to web browsers. The
internet is an infrastructure, whereas the web is a service
constructed on top of the infrastructure. it's miles worth noting
there are numerous different services built on top of the internet,
which includes e-mail and IRC.










মন্তব্যসমূহ